La responsabilidad de las opiniones expresadas en los artículos solo incumbe a sus autores, y su publicación en la Revista Internacional del Trabajo no significa que la OIT las suscriba.
Artículo original: «The joint impact of global value chains and technological exposure on job quality and wages in Europe». International Labour Review 164 (3). Traducción de Marta Pino Moreno. Traducido también al francés en Revue internationale du Travail 164 (3).
1. Introducción
En este artículo se examina la relación entre las condiciones de trabajo de los empleados europeos y dos grandes tendencias mundiales: de una parte, la fragmentación transfronteriza de la producción, según se refleja en la participación en las cadenas de valor mundiales (CVM), y, de otra, el progreso tecnológico impulsado por las tecnologías digitales que combinan hardware (robots avanzados e impresoras 3D), software (análisis de macrodatos, computación en la nube e inteligencia artificial (IA)) y conectividad (ONUDI 2019, xvi). En concreto, el objetivo principal del artículo es investigar si los factores asociados a las tecnologías digitales alteran la relación básica entre las CVM y distintos aspectos de las condiciones de trabajo (salarios y calidad del empleo) en los países desarrollados.
Hay muchos factores determinantes de las condiciones de trabajo, como el aumento de la temporalidad (Aleksynska 2018), las características de la estructura del empleo en las empresas (Clark, D’Ambrosio y Zhu 2021), la organización del trabajo y las relaciones sociales imbricadas en el proceso laboral (Briken et al. 2017; Gandini 2019; Harley 2018), el uso (y abuso) de las tecnologías (Salanova, Llorens y Ventura 2014; Badri, Boudreau-Trudel y Souissi 2018; Brynjolfsson, Mitchell y Rock 2018) y la complejidad de las cadenas de valor (Berliner et al. 2015; Bernhardt y Pollak 2016; Parteka, Wolszczak-Derlacz y Nikulin 2024). Este artículo se centra en la interrelación de estas dos últimas fuerzas: el progreso tecnológico y las CVM. La proliferación de las CVM suscita preocupación por su impacto en las condiciones de trabajo (por ejemplo, Barrientos, Gereffi y Rossi 2011; Barrientos et al. 2016; Berliner et al. 2015; Bernhardt y Pollak 2016; Nikulin, Wolszczak-Derlacz y Parteka 2022), la protección de los derechos de los trabajadores (Delautre, Echeverría Manrique y Fenwick 2021) y las relaciones sociales en el trabajo (Reinecke et al. 2018). Teniendo en cuenta que alrededor de un 70 por ciento del comercio mundial se efectúa en el marco de las CVM, los cambios en los modelos de negocio por efecto de la fragmentación transfronteriza de la producción no son un fenómeno desdeñable.1 Al mismo tiempo, las CVM no pueden aislarse del progreso exponencial de las tecnologías digitales, incluida la IA, que ha pasado a ser otra fuerza poderosa en los últimos decenios (Aghion, Jones y Jones 2019; Hernandez y Brown 2020; Lu y Zhou 2021). La IA ha intensificado las cadenas de producción transfronteriza y la «segunda desagregación» (Baldwin 2013) de los mercados de trabajo modernos, así como las interacciones con estos últimos (Agrawal, Gans y Goldfarb 2019; Acemoglu y Restrepo 2018; Brynjolfsson y Mitchell 2017; Brynjolfsson, Mitchell y Rock 2018; Lane y Saint-Martin 2021; OCDE 2023).
El estudio se centra en las economías desarrolladas de Europa porque el esfuerzo por garantizar condiciones de trabajo decente, a través de medidas y estrategias de política internacionales como los Objetivos de Desarrollo Sostenible 2030 de las Naciones Unidas, no se limita al mundo en desarrollo y a problemas como las condiciones peligrosas o el trabajo infantil (Delautre, Echeverría Manrique y Fenwick 2021). La calidad de la vida laboral en Europa no solo está diversificada por sectores y puestos de trabajo (Eurofound 2020) en función del sexo, la edad, la situación contractual y la ocupación de los trabajadores (Eurofound 2021), sino que también es, al menos en algunos aspectos, globalmente insatisfactoria. Este problema se tiene en cuenta en la actual Agenda 2030 de la Unión Europea, que «insta a crear oportunidades de pleno empleo y trabajo decente para todos» (Objetivo 8, sin cursiva en el original).2 También se abordó anteriormente en el Tratado de Funcionamiento de la Unión Europea, la Estrategia de Lisboa y la Estrategia Europa 2020, instrumentos que establecieron la mejora de los derechos laborales como uno de los principales objetivos para los mercados de trabajo europeos. Aun así, la Encuesta Europea sobre Condiciones de Trabajo (EWCS), en su edición telefónica de 2021 (Eurofound 2022), indica que el 49 por ciento de los trabajadores europeos suelen trabajar a gran velocidad, mientras que el 19 por ciento afirman que el trabajo los somete a situaciones emocionalmente inquietantes. Además, «la realidad del lugar de trabajo cambiante» acrecienta los riesgos psicosociales o de la intensidad del trabajo y desdibuja los límites entre la vida laboral y la no laboral (Eurofound 2021). Estos problemas podrían verse exacerbados por el hecho de que en muchos países europeos han aumentado los porcentajes de empleo en ocupaciones con una mayor exposición a las modernas tecnologías digitales, incluida la IA (Albanesi et al. 2023).
Una lectura de la bibliografía de este campo (apartado 2) revela varias lagunas de la investigación que serán objeto del presente estudio centrado en Europa. En primer lugar, los autores que se han ocupado de las CVM rara vez han tratado aspectos como la seguridad y salud en el trabajo, la satisfacción laboral o la estabilidad del empleo (Budría y Baleix 2020; Geishecker 2012). Incluso al analizar las consecuencias sociales de las CVM, se cuantifica principalmente el impacto salarial o el riesgo de supresión de puestos de trabajo (Baumgarten, Geishecker y Görg 2013; Ebenstein et al. 2014; Geishecker, Görg y Munch 2010; Parteka y Wolszczak-Derlacz 2019 y 2020; Shen y Silva 2018; Hummels, Munch y Xiang 2018). Los citados estudios no reflejan toda la complejidad de las condiciones de trabajo, en particular ciertos aspectos menos cuantificables como la calidad de los entornos físicos de trabajo, el apoyo social y la calidad de la gestión, las perspectivas de desarrollo profesional, la conciliación del trabajo con la vida privada y el impacto de la intensidad del trabajo en la salud y el bienestar (Eurofound 2021). El tema de este artículo abarca la naturaleza polifacética de las condiciones laborales, la dimensión económica del trabajo y sus efectos sobre las condiciones de vida, a partir de estimaciones basadas en información monetaria (datos salariales) y en datos relativos a distintos aspectos de la calidad del empleo.3 El supuesto principal es que las dimensiones no salariales del empleo influyen tanto como la remuneración en el bienestar de los empleados. Este enfoque está en consonancia con el concepto de «ingresos equivalentes» (equivalent income) formulado en la bibliografía sobre el bienestar (Decancq, Fleurbaey y Schokkaert 2015; Fleurbaey 2015) o el modelo de demanda-control (demand-control) (Karasek y Theorell 1990), que vincula las exigencias del puesto de trabajo y la tensión laboral con el estado mental y físico de los trabajadores. Se puede postular que las malas condiciones de trabajo —en aspectos no salariales— se compensan con salarios más altos, pero la evidencia empírica al respecto es escasa (véase, por ejemplo, Bonhomme y Jolivet 2009; Fernández y Nordman 2009).
En segundo lugar, al estudiar la calidad del empleo no se ha considerado hasta ahora la importancia de la fragmentación de la producción en un contexto tecnológico muy dinámico. Los científicos sociales parecen ir varios pasos por detrás de los avances reales en la esfera digital, por ejemplo, en lo que respecta a la creciente influencia de las tecnologías de IA en el mundo del trabajo (Albanesi et al. 2023; OCDE 2023). Las tecnologías digitales, incluida la IA, pueden cuantificarse en el nivel de las ocupaciones mediante el enfoque basado en tareas (task-based approach) (Autor, Levy y Murnane 2003; Acemoglu y Restrepo 2018), que considera las ocupaciones como un conjunto de tareas con diversos grados de exposición tecnológica. Ahora se puede medir la exposición de tareas típicas de una ocupación determinada (Webb 2020) y de las habilidades requeridas para esas tareas (Felten, Raj y Seamans 2018 y 2019) al riesgo derivado de la irrupción de la IA, así como la «idoneidad para el aprendizaje automático» de actividades, tareas y ocupaciones específicas (Brynjolfsson, Mitchell y Rock 2018). Estas medidas se han utilizado principalmente para evaluar el impacto de la IA en los patrones de empleo en los Estados Unidos (Acemoglu et al. 2022) o en Europa (Albanesi et al. 2023). Se ha obtenido ya una amplia evidencia empírica sobre los efectos de la tecnología de la información y las comunicaciones o la automatización en los trabajadores que realizan tareas rutinarias (por ejemplo, Autor, Levy y Murnane 2003; Autor y Handel 2013; Autor y Dorn 2013; Frey y Osborne 2017; Goos, Manning y Salomons 2014; Marcolin, Miroudot y Squicciarini 2016; Spitz-Oener 2006; Acemoglu y Restrepo 2020). En cambio, los primeros estudios sobre la exposición de los trabajadores a la IA tan solo acaban de empezar. A la luz de un informe publicado por el Parlamento Europeo (Deshpande et al. 2021), las previsiones y evidencias actuales sobre la relación entre la IA y los mercados de trabajo son bastante dispares. En cuanto al impacto sobre las condiciones laborales, el citado informe indica que la IA ofrece oportunidades (reducción de las condiciones de trabajo peligrosas o insalubres y mejora de la accesibilidad a determinados empleos), pero también crea riesgos físicos y psicosociales.
La principal contribución de este artículo a la bibliografía sobre las condiciones de trabajo y las CVM es un análisis de la influencia de la IA, entre otras características del progreso tecnológico (informatización y automatización), en este campo. Según los resultados econométricos obtenidos, la participación en las CVM muestra, en promedio, una correlación negativa con los salarios y (ligeramente) positiva con algunos aspectos no monetarios de la calidad del empleo, sobre todo si se tiene en cuenta la exposición de las ocupaciones al software o a los robots. Cuando se examina la exposición a la IA, el efecto de una participación más intensa en las CVM es negativo para los salarios, pero insignificante para la calidad del empleo. Así pues, la influencia de las CVM en los salarios y en las distintas facetas de la calidad del empleo puede ser variable, lo que obliga a analizar los aspectos no salariales además de los salarios en sí. Al mismo tiempo, se observa que la influencia de la tecnología digital en el binomio «CVM-condiciones de trabajo» es marginal o incluso insignificante. Es decir, los factores tecnológicos no afectan a la relación básica entre las condiciones de trabajo y las CVM de forma económicamente significativa.
El resto del artículo se estructura del siguiente modo. Tras revisar la bibliografía relacionada con los determinantes de las condiciones de trabajo (apartado 2), se documentan algunos datos descriptivos sobre las condiciones de trabajo en Europa (apartado 3). Después se exponen los principales resultados del estudio, que relacionan las tendencias observadas en la calidad del empleo y los salarios con las CVM y las características tecnológicas de los puestos de trabajo (apartado 4). Por último, se extraen las principales conclusiones (apartado 5).
2. Revisión bibliográfica sobre los factores determinantes de las condiciones de trabajo
La bibliografía sobre las condiciones de trabajo es muy extensa. Al no existir una definición única de las condiciones de trabajo y/o la calidad del empleo (Clark 2015; Steffgen, Sischka y Fernandez de Henestrosa 2020), el bienestar multidimensional de los trabajadores puede analizarse desde diversas perspectivas con distintos enfoques metodológicos. Se pueden cuantificar los aspectos económicos de los puestos de trabajo utilizando indicadores monetarios (como los salarios) combinados con información sobre el tiempo de trabajo o el tipo de trabajo (vespertino/nocturno/por turnos/temporal) (Aleksynska 2018; Piasna 2018; Rossi 2013). Sin embargo, otras características no monetarias, reflejadas en aspectos intrínsecos del trabajo como la autonomía, la utilidad social, las relaciones interpersonales y el contexto social del trabajo, constituyen rasgos esenciales del bienestar de los trabajadores (Cascales Mira 2021; Clark, D’Ambrosio y Zhu 2021; Gallie, Felstead y Green 2012). Por ejemplo, Clark, Kristensen y Westergård-Nielsen (2009) sugieren que la satisfacción laboral puede estar relacionada con los salarios de los compañeros de trabajo, donde la asociación puede ser positiva, ya que los salarios más altos de los compañeros de trabajo pueden proporcionar información sobre las perspectivas (véase también Javdani y Krauth 2020), o negativa si el salario del trabajador está por debajo de la mediana salarial (Card et al. 2012). La diversidad de género en el puesto de trabajo está relacionada con un mayor bienestar de los trabajadores (Clark, D’Ambrosio y Zhu 2021). Para complicar aún más las cosas, la percepción de lo que constituye un «buen trabajo» es muy subjetiva y difiere, por ejemplo, entre géneros (Kaufman y White 2015). Las preferencias de atributos del puesto responden al deseo de obtener resultados específicos relacionados con el trabajo y también pueden diversificarse en función de otras características de los trabajadores, como las circunstancias domésticas, la titulación más alta alcanzada y la ocupación (Sutherland 2012).
La bibliografía económica en este campo también ha evaluado la influencia de los cambios económicos mundiales externos, como la fragmentación transfronteriza de la producción y el progreso tecnológico. La especialización vertical, cuantificada en un primer momento mediante indicadores de deslocalización (Baumgarten, Geishecker y Görg 2013; Ebenstein et al. 2014; Egger, Kreickemeier y Wrona 2015) y, más recientemente, utilizando medidas de CVM basadas en datos mundiales de insumo-producto (Feenstra y Sasahara 2018; Parteka y Wolszczak-Derlacz 2019 y 2020), ha resultado tener profundas consecuencias para los mercados de trabajo. Abunda la bibliografía en este sentido, pero muchos autores han abordado los fenómenos con un enfoque puramente económico, basándose en la información sobre los salarios (Baumgarten, Geishecker y Görg 2013; Ebenstein et al. 2014; Geishecker, Görg y Munch 2010; Parteka y Wolszczak-Derlacz 2019 y 2020; Shen y Silva 2018).4 La utilización de los salarios como indicador de las condiciones de trabajo se justifica, en parte, por el concepto de progreso social,5 que refleja la mejora del bienestar de los trabajadores derivada de la participación en las cadenas mundiales de producción (Milberg y Winkler 2011). Sin embargo, la bibliografía empírica sobre las consecuencias sociales del comercio internacional y la proliferación de las CVM más allá de los salarios arroja resultados divergentes. Algunos estudios empíricos confirman una relación positiva, al observarse una mejora de las condiciones laborales en las empresas más activas en el comercio internacional (Nadvi et al. 2004; Bair y Gereffi 2001). Otra línea de investigación concluye que el vínculo entre la mejora económica y social es específico de cada rama de producción (Bernhardt y Pollak, 2016). Algunos autores sostienen que una mayor participación en las CVM puede no traducirse en mejores salarios o condiciones de trabajo (Gimet, Guilhon y Roux 2015; Lee y Gereffi 2013; Lee, Gereffi y Lee 2016).
Además, la relación entre las CVM y los aspectos no monetarios de las condiciones de trabajo se ha analizado principalmente desde la perspectiva de los países en desarrollo (Bair y Gereffi 2001; Barrientos et al. 2016; Kabeer y Mahmud 2004; Lee, Gereffi y Lee 2016; Rossi 2013). La cuestión de cómo varía la calidad del empleo entre diversos grupos de trabajadores en los países desarrollados rara vez se plantea en relación con las CVM, pues los datos existentes se refieren a países y sectores específicos. Por ejemplo, Smith y Pickles (2015) observan que, en la industria eslovaca de la confección, los salarios y las prestaciones de los trabajadores en las empresas orientadas a la exportación pueden ser más altos, pero no así la estabilidad del empleo. Lloyd y James (2008), por su parte, documentan un efecto positivo de las CVM en la seguridad y salud de los trabajadores empleados en la industria alimentaria del Reino Unido. Budría y Baleix (2020), tras investigar los efectos de la fragmentación de la producción en la satisfacción laboral de los individuos y el riesgo percibido de pérdida de empleo entre los trabajadores alemanes, concluyen que la deslocalización se asocia negativamente con la satisfacción laboral. Aquellos estudios que abordan el nexo entre la fragmentación de la producción y el mercado laboral desde una perspectiva más amplia, de carácter transnacional, suelen centrarse en los salarios como indicador de las condiciones laborales (Parteka y Wolszczak-Derlacz 2019 y 2020). Nikulin, Wolszczak-Derlacz y Parteka (2022) van un paso más allá y examinan cómo afecta la participación en las CVM a los salarios, al tiempo de trabajo y a los complementos salariales de los trabajadores de 24 países europeos. Sus resultados indican un efecto diversificado de las CVM sobre las condiciones de trabajo, dependiendo de la medida utilizada: en concreto, los trabajadores de los sectores más integrados en las CVM perciben unos ingresos más bajos y menos estables, pero también suelen trabajar menos horas extraordinarias. Los autores sugieren que se sigan investigando diversos aspectos del bienestar de los trabajadores.
Otra línea de investigación afín se ocupa de los efectos del progreso tecnológico en los trabajadores. Existe un amplio consenso en que los rápidos cambios tecnológicos afectan muy directamente a los resultados del mercado laboral, en particular a los salarios y el empleo (véase una revisión bibliográfica de este aspecto en Georgieff 2024; Goos 2018). Una influyente línea bibliográfica aborda el efecto desplazamiento, característico de los trabajos muy rutinarios, propensos a la informatización y la robotización (Frey y Osborne 2017), y el grado de sustitución de trabajadores por robots (automatización) y entre trabajadores (Acemoglu y Restrepo 2018 y 2020). Según la hipótesis del cambio tecnológico basado en el nivel de calificación y la hipótesis del cambio tecnológico basado en el carácter rutinario de la ocupación (Acemoglu y Autor 2011; Autor, Levy y Murnane 2003; Goos, Manning y Salomons 2014), los trabajadores de baja calificación constituyen el grupo más vulnerable, mientras que los muy calificados pueden beneficiarse de las nuevas tecnologías.6
Las implicaciones de las nuevas tecnologías, según la bibliografía académica existente, son complejas y difieren de un simple caso de sustitución de trabajadores por máquinas. Las tecnologías digitales tienen efectos importantes en el bienestar de los trabajadores, ya que pueden dificultar la conciliación del trabajo con la vida privada o ser fuente de «tecnoestrés» (Tarafdar, Cooper y Stich 2019; Salanova, Llorens y Ventura 2014; Berg-Beckhoff, Nielsen y Ladekjær Larsen 2017). La IA puede repercutir en las interacciones entre el ser humano y las máquinas, creando entornos de trabajo nuevos y cambiantes (Lane y Saint-Martin 2021) y afectando al bienestar de los trabajadores (Nazareno y Schiff 2021). La IA generativa puede influir en la cantidad y la calidad del empleo (Gmyrek, Berg y Bescond 2023).
Por su parte, los efectos del progreso tecnológico sobre el empleo dependen de la adecuación de las tareas del puesto al aprendizaje automático (Brynjolfsson y Mitchell 2017). El análisis realizado por Antón, Fernández-Macías y Winter-Ebmer (2020) indica que la robotización puede estar negativamente asociada con la intensidad del trabajo, mientras que no guarda relación alguna con el entorno físico o con ciertas dimensiones de la calidad del empleo, como el desarrollo de competencias y la discrecionalidad. Turja et al. (2024) observan que, en general, la satisfacción laboral es menor en los lugares de trabajo robotizados que en los no robotizados. En el caso de las tecnologías de IA, las consecuencias no están totalmente relacionadas con el efecto desplazamiento, y para algunos trabajadores estas tecnologías son incluso beneficiosas. Por ejemplo, en ocupaciones de alta calificación, la influencia de las soluciones de IA puede ser positiva (Lane y Saint-Martin 2021, 23). Webb (2020) muestra que, si bien la exposición a los robots y al software es característica de trabajos muy rutinarios, la IA «ejecuta tareas que consisten en detectar patrones, emitir juicios y optimizar» (Webb 2020, 3), tareas típicas de muchas ocupaciones muy calificadas. Pese a la amplia preocupación por la posibilidad de que la IA sustituya a los trabajadores, Felten, Raj y Seamans (2019) muestran que la exposición a la IA, aunque no guarda una relación significativa con el crecimiento del empleo, está positivamente correlacionada con el crecimiento de los salarios. La evidencia reciente de Europa proporcionada por Albanesi et al. (2023) indica que la IA puede influir en el crecimiento del empleo, especialmente para los trabajadores calificados, mientras que el efecto sobre los salarios es casi inapreciable. Del mismo modo, Acemoglu et al. (2022) constatan un aumento significativo del empleo en los lugares de trabajo expuestos a la IA, pero no detectan ningún efecto ni en el empleo ni en los salarios por ocupación o sector. Sostienen que el efecto de la IA es limitado porque «las tecnologías de IA son todavía incipientes» (Acemoglu et al. 2022, S337) y solo una pequeña parte de la economía estadounidense se dedica a tareas relacionadas con la IA. El estudio realizado en Alemania muestra un efecto positivo de la IA sobre los salarios y un efecto menor, pero positivo, de la robotización sobre los salarios (Grimm y Gathmann 2022). La evidencia más reciente sobre el efecto de la IA generativa señala un posible aumento positivo del crecimiento de la productividad (Brynjolfsson, Li y Raymond 2023; Calvino y Fontanelli 2023).
En definitiva, según los datos empíricos disponibles sobre los vínculos entre tecnología y salarios, el resultado neto de la automatización sobre los salarios es ambiguo debido a la incidencia de dos efectos opuestos: la sustitución y la productividad. El resultado final depende del nivel de rutinización (o de competencias exigidas) (por ejemplo, Acemoglu y Restrepo 2020; van der Velde 2020). Del mismo modo, la evidencia empírica sobre el impacto de la IA en los salarios también es bastante contradictoria (véase una revisión bibliográfica en Georgieff 2024).
Dado su carácter multidimensional y sumamente intangible, las condiciones de trabajo no suelen ser fáciles de cuantificar. Uno de los métodos se basa en indicadores compuestos de la calidad del empleo (Cascales Mira 2021). Existen numerosos indicadores de la calidad del empleo en Europa, propuestos por la OIT, Eurostat y Eurofound (véase una revisión al respecto en Cazes, Hijzen y Saint-Martin 2015). Se basan tanto en índices agregados como en aspectos individuales de la calidad del empleo. Por ejemplo, el índice de calidad del empleo elaborado por el Instituto Sindical Europeo (ETUI) (véase Leschke, Watt y Finn 2008) y calculado para los países europeos incluye los siguientes aspectos: i) salarios; ii) formas atípicas de empleo; iii) tiempo de trabajo y conciliación de la vida laboral y personal; iv) condiciones de trabajo y estabilidad laboral; v) desarrollo de competencias y desarrollo profesional; y vi) representación de los intereses colectivos. En los informes de la EWCS publicados periódicamente (Eurofound 2017, 2020, 2021 y 2022) se analiza la complejidad de la calidad del empleo con índices relativos al entorno físico, la intensidad del trabajo, la calidad del tiempo de trabajo, el entorno social, el desarrollo y aplicación de competencias y la discrecionalidad, las perspectivas de futuro y los ingresos. La EWCS es la principal fuente de datos utilizada en el siguiente apartado.
3. Datos y metodología empírica
3.1. Conjunto de datos
Con el fin de estudiar los vínculos entre las condiciones de trabajo, las CVM y la tecnología digital, en el presente artículo se analiza un amplio conjunto de datos (descrito en el cuadro SA1 del anexo suplementario en línea, solo en inglés), que fusiona los datos de numerosas fuentes y se refiere a trabajadores de 22 países europeos.7 La metodología utilizada permite hacer un examen complejo del bienestar de los trabajadores aplicando seis índices de calidad del empleo, cuantificados con una puntuación de 0 (la peor) a 100 (la mejor), y comparándolos con los salarios. Los índices de calidad del empleo proceden de la EWCS de 2015 y se refieren a seis aspectos: el entorno físico (por ejemplo, indicadores de vibraciones, ruido y temperatura); la intensidad del trabajo (por ejemplo, determinantes del ritmo y demandas emocionales); la calidad del tiempo de trabajo (por ejemplo, ordenación del tiempo de trabajo y flexibilidad); el entorno social (por ejemplo, apoyo social y calidad de la gestión); el desarrollo y aplicación de competencias y la discrecionalidad (por ejemplo, oportunidades de formación y margen de decisión); y las perspectivas de futuro (por ejemplo, perspectivas profesionales y estabilidad laboral).8 De manera complementaria, se utiliza información sobre el salario medio por hora, obtenida de la Encuesta de Estructura Salarial (Structure of Earnings Survey, SES) de 2014 como promedio de los ingresos brutos por hora en el mes de referencia, convertidos a dólares de los Estados Unidos. Seguidamente, los datos microeconómicos se cotejan con indicadores sectoriales de la participación en las CVM (tomados de la World Input-Output Database, WIOD); Timmer et al. 2015), expresados como la proporción de valor añadido extranjero en las exportaciones (Wang, Wei y Zhu 2013). Teóricamente, este indicador oscila entre 0 y 1 (donde 1 representa una dependencia total de las exportaciones sectoriales del valor añadido extranjero); en la muestra analizada, varía entre 0,01 y 0,7 (véase el cuadro del anexo principal). Por último, se buscan correspondencias con los indicadores de exposición a la tecnología por ocupación, que oscilan entre 0 y 100 (Webb 2020).9 Se utilizan tres medidas de exposición tecnológica ocupacional relacionada con los robots, el software y la IA, respectivamente. Las puntuaciones reflejan la intensidad de registro de patentes observada para cada una de estas tecnologías en una ocupación determinada.
3.2. Estadísticos descriptivos
En el cuadro del anexo principal figuran los estadísticos resumidos de todas las variables. Las variables de interés —a saber, las puntuaciones de calidad del empleo— presentan una variabilidad sustancial. Al tener en cuenta seis índices diferentes de calidad del empleo, además de los salarios monetarios, es importante examinar su coherencia interna y sus correlaciones. Se ha comprobado la asociación de los índices de calidad del empleo de la EWCS con la salud y el bienestar, validando el uso de seis medidas diferentes para varias dimensiones de la calidad del empleo.10 También se observa una tenue correlación entre los salarios y los índices de calidad no salarial del empleo, de lo que se desprende que no reflejan las mismas características.11
Los gráficos SA1 y SA2 del anexo suplementario en línea, que detallan la distribución de la calidad del empleo, muestran una clara variación entre países europeos y a nivel interno en cada país. Un análisis de la distribución de las ocupaciones por diferentes medidas tecnológicas (Webb 2020)12 indica que el impacto potencial de las tecnologías es heterogéneo entre ocupaciones y según diferentes tipos de exposición tecnólogica.13
3.3. Modelo
En este estudio, la tarea analítica principal consiste en estimar la relación entre los distintos aspectos de las condiciones de trabajo, la intensidad de la participación en las CVM y el contenido tecnológico de las ocupaciones. Para ello, se realiza la siguiente regresión minceriana aumentada:
(1)
siendo i el trabajador, o la ocupación, j la empresa, s el sector de empleo, c el país y k el tipo de índice de calidad del empleo (JQ) en la EWCS. Como alternativa a JQ, se utiliza el logaritmo del salario. En las estimaciones de JQ (basadas en datos de la EWCS), el conjunto de características individuales (trabajadori) incluye el sexo, la edad, el nivel educativo y la calificación (cuatro tipos, basados en la ocupación). En el caso de la regresión salarial, basada en datos de la SES más detallados, las características de trabajadori son el sexo, la edad, el nivel educativo y el tipo de empleo (una variable binaria de trabajo a tiempo completo/parcial). En empresaj se engloban las características del puesto de trabajo relacionadas con la empresa: los modelos basados en los índices de la EWCS incluyen el tipo de contrato (indefinido/temporal) y el tipo de empleo (a tiempo parcial o a tiempo completo); la regresión salarial se refiere a la antigüedad en la empresa, el tipo de empleo (a tiempo completo/a tiempo parcial) y la forma de control económico y financiero (público/privado14). La productividad sectorial (prods, expresada en logaritmos) es igual a la relación entre el valor añadido y el número total de horas trabajadas por los empleados. CVMsc es un indicador indirecto de la participación de un sector específico del país en las CVM, mientras que tecno se refiere a una medida de exposición tecnológica por ocupación. También se añade la interacción entre CVM y tecn, que tiene en cuenta la posibilidad de que el efecto de las CVM sobre las condiciones de trabajo dependa del tipo de exposición tecnológica (CVMsc × tecno). El efecto marginal de las CVM sobre la calidad del empleo es igual a:
(2)
Lo mismo ocurre con los salarios:
(3)
y ambas pueden representarse gráficamente (véanse los gráficos 1 y 2). Además, se incluyen efectos fijos sectoriales y de país: Dc debe despejar todas las características específicas del país, como la regulación del mercado laboral, y Ds el resto de las características de los sectores.
Logaritmos de salarios previstos debido a los cambios en la intensidad de las CVM a diferentes niveles de exposición tecnológica de los puestos de trabajo (ilustración de los resultados que figuran en el cuadro 4)
En el modelo que utiliza los índices de calidad del empleo de la EWCS (en el intervalo 0–1), se estima la ecuación (1) mediante probit fraccional,15 mientras que en el modelo basado en los salarios la ecuación se estima mediante mínimos cuadrados ordinarios (MCO) ponderados. Las ponderaciones se calculan a partir del factor de conversión a cifras brutas de la SES ajustado al número de observaciones por país (para garantizar que cada país esté representado por igual en la muestra). Las regresiones para ambos tipos de variables dependientes se estiman con errores estándar robustos agrupados por país-sector.
En el siguiente apartado se exponen los resultados de la estimación de los índices de EWCS (apartado 4.1) y los salarios (apartado 4.2).
4. Resultados
4.1. Condiciones de trabajo medidas por los índices de calidad del empleo (EWCS)
En los cuadros 1, 2, 3 se recogen los resultados de la estimación de la ecuación (1) obtenidos con seis índices diferentes de calidad del empleo procedentes de la EWCS y tres tipos de exposición tecnológica (los cuadros solo indican los principales coeficientes, pero los resultados completos pueden consultarse en los cuadros SA5–SA7 del anexo suplementario en línea). El cuadro 1 se refiere a la exposición tecnológica (tecn) medida como exposición al software, mientras que los cuadros 2 y 3 se refieren a la exposición a los robots y a la IA, respectivamente.
Factores determinantes de los índices de calidad del empleo de la EWCS: tecn medida como exposición al software
| Variable dependiente: índices de calidad del empleo de la EWCS | ||||||
| Entorno social | Competencias y discrecionalidad | Entorno físico | Intensidad del trabajo | Perspectivas de futuro | En el tiempo de trabajo | |
| CVM | 0,625*** (0,136) |
0,322 (0,237) |
0,602*** (0,198) |
–0,004 (0,128) |
0,085 (0,107) |
0,332** (0,164) |
| tecn | 0,001 (0,000) |
0,001 (0,001) |
–0,003*** (0,001) |
0,001* (0,000) |
0 (0,000) |
0 (0,000) |
| CVM × tecn | –0,013*** (0,002) |
–0,002 (0,004) |
–0,014*** (0,003) |
–0,001 (0,002) |
–0,004** (0,002) |
–0,006** (0,003) |
| N | 22 524 | 22 350 | 22 523 | 22 478 | 22 521 | 22 524 |
-
* Significativo al nivel del 10 por ciento. ** Significativo al nivel del 5 por ciento. *** Significativo al nivel del 1 por ciento.
Notas: Método de estimación: probit fraccional. Se incluyen características personales, concretamente el sexo, la edad, la educación, la calificación, el tipo de contrato y el empleo a tiempo parcial. Además, se incluyen efectos fijos sectoriales y de país. Entre paréntesis se indican los errores estándar robustos, agrupados por país-sector.
Fuente: Cálculos de las autoras con datos de la EWCS y la WIOD, y Webb (2020).
Factores determinantes de los índices de calidad del empleo de la EWCS: tecn medida como exposición a robots
| Variable dependiente: índices de calidad del empleo de la EWCS | ||||||
| Entorno social | Competencias y discrecionalidad | Entorno físico | Intensidad del trabajo | Perspectivas de futuro | En el tiempo de trabajo |
|
| CVM | 0,548*** (0,121) |
0,332* (0,189) |
0,559*** (0,175) |
–0,129 (0,101) |
0,092 (0,104) |
0,097 (0,136) |
| tecn | –0,001*** (0,000) |
0 (0,001) |
–0,007*** (0,001) |
0,001* (0,000) |
0 (0,000) |
–0,002*** (0,000) |
| CVM × tecn | –0,012*** (0,002) |
–0,003 (0,003) |
–0,013*** (0,003) |
0,002 (0,002) |
–0,004*** (0,002) |
–0,001 (0,002) |
| N | 22 524 | 22 350 | 22 523 | 22 478 | 22 521 | 22 524 |
-
* Significativo al nivel del 10 por ciento. ** Significativo al nivel del 5 por ciento. *** Significativo al nivel del 1 por ciento.
Notas: Véanse las notas del cuadro 1.
Fuente: Cálculos de las autoras con datos de la EWCS y la WIOD, y Webb (2020).
Factores determinantes de los índices de calidad del empleo de la EWCS: tecn medida como exposición a la IA
| Variable dependiente: índices de calidad del empleo de la EWCS | ||||||
| Entorno social | Competencias y discrecionalidad | Entorno físico | Intensidad del trabajo | Perspectivas de futuro | En el tiempo de trabajo |
|
| CVM | 0,042 (0,147) |
0,164 (0,253) |
–0,018 (0,166) |
0,122 (0,131) |
–0,053 (0,115) |
0,353*** (0,125) |
| tecn | 0 (0,001) |
0,001* (0,001) |
–0,004*** (0,001) |
0,001*** (0,000) |
0 (0,000) |
0,001* (0,000) |
| CVM × tecn | 0 (0,002) |
0,001 (0,004) |
–0,002 (0,003) |
–0,003 (0,002) |
–0,001 (0,002) |
–0,006*** (0,002) |
| N | 22 524 | 22 350 | 22 523 | 22 478 | 22 521 | 22 524 |
-
* Significativo al nivel del 10 por ciento. ** Significativo al nivel del 5 por ciento. *** Significativo al nivel del 1 por ciento.
Notas: Véanse las notas del cuadro 1.
Fuente: Cálculos de las autoras con datos de la EWCS y la WIOD, y Webb (2020)
Al utilizar el modelo probit fraccional (en el cual los índices de calidad del empleo están en el intervalo (0,1)), los parámetros solo proporcionan el signo del efecto marginal de las covariables sobre el resultado, pero la magnitud es difícil de interpretar (Papke y Wooldridge 1996; Wooldridge 2010). En consecuencia, en el cuadro 4 se presentan los efectos marginales promedio: la asociación entre las CVM y las condiciones de trabajo no es grande (del –0,1 al 6 por ciento). Es decir, un cambio menor en la intensidad de la participación en las CVM puede elevar las condiciones de trabajo hasta un 6 por ciento en el caso de la dimensión de la calidad del empleo relativa a las competencias y la discrecionalidad, que suele ser mayor para los directores y gerentes y los profesionales científicos e intelectuales.16 Sin embargo, la relación no es positiva para algunos tipos de condiciones laborales, como la intensidad del trabajo.
Factores determinantes de los índices de calidad del empleo de la EWCS: efectos marginales
| Entorno social | Competencias y discrecionalidad | Entorno físico | Intensidad del trabajo | Perspectivas de futuro | En el tiempo de trabajo | |
| Exposición al software | ||||||
| CVM | 0,027 (0,026) |
0,064 (0,040) |
–0,014 (0,023) |
–0,011 (0,025) |
–0,031 (0,026) |
0,021 (0,030) |
| Exposición a robots | ||||||
| CVM | –0,001 (0,028) |
0,059 (0,040) |
–0,029 (0,023) |
–0,011 (0,026) |
–0,04 (0,026) |
0,013 (0,027) |
| Exposición a la IA | ||||||
| CVM | 0,009 (0,027) |
0,059 (0,042) |
–0,023 (0,021) |
–0,004 (0,026) |
–0,034 (0,026) |
0,029 (0,027) |
-
Notas: Entre paréntesis se indican los errores estándar robustos, agrupados por país-sector.
Fuente: Cálculos de las autoras con datos de la EWCS y la WIOD, y Webb (2020).
Nos interesan principalmente las variables CVM, tecn y el término de interacción entre ellas. En general, la relación entre la intensidad de la participación en las CVM y determinados aspectos de la calidad del empleo como el entorno social y físico es positiva (cuadros 1 y 2), pero no ocurre así al considerar la exposición a las tecnologías de la IA, donde la relación entre la calidad del empleo y las CVM no es en su mayoría estadísticamente significativa (cuadro 3).
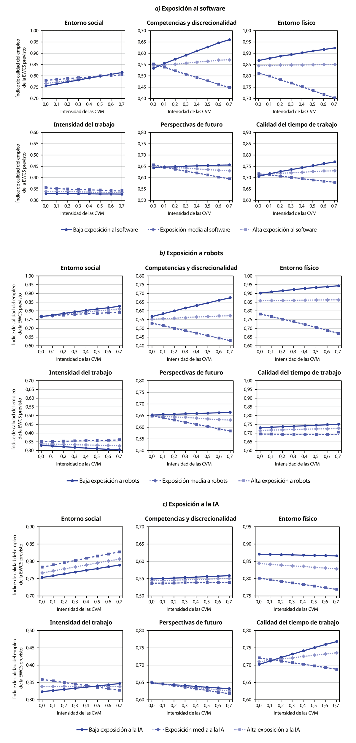
Si el coeficiente del término de interacción es estadísticamente significativo, la relación entre las CVM y la calidad del empleo depende, al menos en el plano estadístico, del grado de exposición tecnológica. El gráfico 1 muestra la relación entre las CVM y los índices de calidad del empleo previstos en niveles bajos, medios y altos de exposición al software, los robots y la IA. En cada uno de los gráficos, la posición relativa de las tres líneas refleja las diferencias generales en cuanto a la calidad del empleo entre ocupaciones que difieren en su grado de exposición tecnológica, mientras que la inclinación de las líneas muestra el efecto de una mayor intensidad de la participación en las CVM.
En la mayoría de los casos, las diferencias entre niveles tecnológicos son pequeñas (las líneas se superponen) y solo se manifiestan en relación con determinados aspectos de la calidad del empleo. En cuanto a los efectos de la interacción de la exposición tecnológica sobre la relación de las CVM con la calidad del empleo, el panorama es desigual. En las ocupaciones muy expuestas al software y a los robots (gráfico 1 a) y b)), ciertas dimensiones de la calidad del empleo como el entorno físico, las competencias y la discrecionalidad o las perspectivas de futuro empeoran cuando se intensifica la participación en las CVM. Lo contrario ocurre con las ocupaciones menos expuestas al software y a los robots, especialmente en el caso del entorno físico, y las competencias y la discrecionalidad. Sin embargo, eso no significa que los factores tecnológicos alteren de forma significativa (también en términos económicos) la relación básica entre la calidad del empleo y las CVM, ya que la magnitud de los cambios previstos (véase la escala del eje de ordenadas) indica que los efectos de la interacción son mínimos. Así ocurre también en el caso de las tecnologías de IA (gráfico 1 c)): los cambios en la mayoría de los aspectos de la calidad del empleo asociados a una intensificación de la participación en las CVM son similares para las ocupaciones con diferentes niveles de exposición a la IA, y son de escasa magnitud.
Los resultados de las variables de control (cuadros SA5-SA7 del anexo suplementario en línea) confirman la importancia de las características individuales de los trabajadores. La probabilidad de mejora del entorno social es mayor para los hombres (se observa el mismo efecto en el caso de las perspectivas de futuro y la intensidad del trabajo, pues una menor intensidad del trabajo se traduce en mejores condiciones laborales). La situación de las trabajadoras es mejor en lo que respecta al entorno físico y al tiempo de trabajo. Los trabajadores más jóvenes tienen más probabilidades de soportar peores condiciones en cuanto al entorno físico, la intensidad del trabajo y el tiempo de trabajo, pero disfrutan de mejores perspectivas de futuro. Los trabajadores de 30 a 49 años están mejor situados que los de edad avanzada en cuanto al entorno social y las perspectivas de futuro, mientras que la correlación es inversa con otros índices de calidad del empleo. En cuanto a las variables de educación, se compara a los empleados con niveles educativos bajos y medios con aquellos que han completado estudios superiores. Los trabajadores con un nivel educativo bajo y medio tienen peores condiciones de trabajo, excepto en lo que respecta a la intensidad y el tiempo de trabajo. Con respecto a la calificación, los trabajadores con estudios superiores pueden beneficiarse de aspectos de la calidad del empleo como el entorno social, las competencias y la discrecionalidad, el entorno físico y las perspectivas de futuro. Ocurre lo contrario en el caso de la intensidad del trabajo y el tiempo de trabajo. La calidad del empleo suele ser mayor en la mayoría de los aspectos para los trabajadores con contratos indefinidos. Los que trabajan a tiempo parcial presentan mejores condiciones en cuanto al entorno físico, la intensidad del trabajo y el tiempo de trabajo.
4.2. Condiciones de trabajo medidas a partir de la información salarial
Se procede ahora a realizar un análisis similar, esta vez basado en los salarios como indicador de las condiciones de trabajo. Los resultados de la estimación se presentan en el cuadro 5. Los salarios presentan una correlación negativa con la intensificación de los vínculos con las CVM. Se estima la regresión MCO con los logaritmos de los salarios para que los coeficientes negativos puedan interpretarse como cuasi elasticidades: un aumento de 1 punto porcentual en la intensidad de la participación en las CVM se asocia con un descenso salarial de entre el 3,6 y el 4,6 por ciento. Este resultado coincide con los obtenidos en estudios que documentan una relación inversa (aunque tenue) entre la fuerza de los vínculos entre CVM/deslocalización y salarios en el caso de los trabajadores europeos (Baumgarten, Geishecker y Görg 2013; Parteka y Wolszczak-Derlacz 2019; Nikulin, Wolszczak-Derlacz y Parteka 2022).
Factores determinantes de los salarios
| Variable dependiente: logaritmo del salario | |||
| Exposición al software | Exposición a robots | Exposición a la IA | |
| CVM | –0,361** (0,150) |
–0,456*** (0,127) |
–0,401*** (0,154) |
| tecn | –0,002*** (0,001) |
–0,007*** (0,000) |
0,004*** (0,001) |
| CVM × tecn | 0,005* (0,003) |
0,007*** (0,002) |
0,004* (0,002) |
| R2 | 0,8 | 0,82 | 0,81 |
| N | 9 218 140 | 9 218 140 | 9 218 140 |
-
* Significativo al nivel del 10 por ciento. ** Significativo al nivel del 5 por ciento. *** Significativo al nivel del 1 por ciento.
Notas: Se incluyen características personales y de la empresa, concretamente el sexo, la edad, la educación, el empleo a tiempo completo/parcial, la antigüedad en la unidad y empresa pública/privada. Además, se incluyen efectos fijos sectoriales y de país. Entre paréntesis se indican los errores estándar robustos, agrupados por país-sector.
Fuente: Cálculos de las autoras con datos de la SES y la WIOD, y Webb (2020).
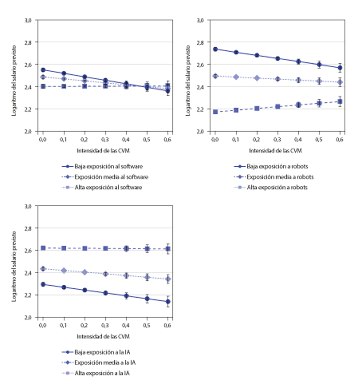
El efecto condicional obtenido al relacionar la intensidad de las CVM con la exposición a la tecnología es muy débil. El gráfico 2 ilustra estos resultados, presentando los logaritmos de los salarios previstos cuando se altera la intensidad de las CVM sobre los distintos niveles de exposición tecnológica de los puestos de trabajo (baja, media o alta). Los resultados muestran que, en promedio, los puestos con menores niveles de exposición al software o a los robots tienen salarios ligeramente más altos, pero que estos disminuyen a medida que se intensifican los vínculos con las CVM. En particular, la variación de los salarios medios en diferentes niveles de exposición al software y a los robots es pequeña. Al mismo tiempo, los salarios en las ocupaciones muy expuestas a los robots o al software no varían significativamente cuando aumenta la intensidad de la participación en las CVM. La relación parece ser aún más estable en los empleos expuestos a la IA: los salarios son más altos en los empleos muy expuestos a la IA, pero permanecen bastante estables a medida que aumenta la intensidad de la participación en las CVM. La variación de los salarios en los puestos con exposición baja y media a la IA también es muy pequeña. Los resultados confirman la evidencia reciente sobre el escaso impacto de la IA en la determinación de los salarios (Acemoglu et al. 2022, Albanesi et al. 2023 y Milanez 2023).17
4.3. Pruebas de robustez
A fin de comprobar la sensibilidad de los resultados, se han aplicado numerosas comprobaciones de robustez (expuestas en el anexo suplementario en línea), comenzando por el análisis de sensibilidad de los salarios. Se examinan primero las diferencias entre países en cuanto a la coordinación institucional del mercado de trabajo, concretamente los sistemas de negociación salarial. Los datos proceden de la base de datos sobre las características institucionales de los sindicatos, de fijación de salarios, la intervención estatal y los pactos sociales (Institutional Characteristics of Trade Unions, Wage Setting, State Intervention and Social Pacts, ICTWSS) (Visser 2019). Se tiene en cuenta la variable recodificada que representa la coordinación de la fijación salarial (coord), donde 1 significa negociación centralizada o sectorial y 0 se aplica a los países con negociación mixta sectorial y de empresa (cuadro SA9). Después se emplean las variables GOC (cláusulas generales de apertura en convenios colectivos)18 y barg3 (negociación salarial)19 (cuadros SA10 y SA11). Además, se añaden variables de ámbito nacional, entre ellas la proporción de importaciones y exportaciones en el producto interior bruto como medidas de la apertura comercial (cuadros SA12 y SA13). Los resultados de referencia no se alteran al aumentar la regresión con variables que describen el mecanismo de fijación de salarios o con medidas de apertura específicas de cada país.
A continuación, se cambia la medida de la intensidad de las CVM, sustituyendo la proporción de valor añadido extranjero en las exportaciones por la intensidad mundial de importaciones de la producción, tal como la definen Timmer et al. (2016). La intensidad mundial de importaciones se basa en la relación entre todas las importaciones intermedias añadidas a lo largo de la cadena (no solo en la etapa anterior) y el valor del producto final. Los principales resultados se mantienen (véase el cuadro SA14).
A continuación, se sustituye el índice de exposición a la IA de Webb por el índice de impacto ocupacional de la IA (AIOI) de Felten, Raj y Seamans (2018 y 2019). Los salarios son más elevados para los trabajadores más expuestos a la IA y cambian con el aumento de la participación en las CVM (cuadro SA15). En consonancia con estudios anteriores (por ejemplo, Felten, Raj y Seamans 2019), en general se observa que las ocupaciones expuestas a la IA muestran cambios positivos (poco significativos) en los salarios. Por último, se añade el tamaño de la empresa como covariable adicional (cuadro SA16).20
Se repiten las mismas comprobaciones de robustez con todos los índices de calidad del empleo de la EWCS (cuadros SA17–SA35) y se confirman las principales conclusiones.
5. Conclusiones
La ciencia no ha aportado todavía una visión integral del impacto conjunto de la internacionalización de la producción y el progreso digital sobre la calidad del empleo y las condiciones sociales en el trabajo, tampoco en el contexto europeo. El objetivo del presente artículo era arrojar nueva luz sobre las diferencias en las condiciones de trabajo en toda Europa. En concreto, se trataba de ampliar los conocimientos acerca del bienestar laboral de los europeos en un doble sentido: i) cuantificando las condiciones de trabajo con un enfoque multidimensional (analizando los salarios y varios aspectos de la calidad del empleo); y ii) evaluando conjuntamente los efectos de la dependencia comercial de las cadenas de valor mundiales (CVM) y de varios tipos de tecnologías digitales en los mercados de trabajo europeos.
En relación con el primer punto, el análisis ha permitido abordar la dimensión social de las condiciones de trabajo desde una perspectiva típica, puramente económica, del impacto de las CVM y de las nuevas tecnologías sobre los trabajadores. Como los salarios no reflejan toda la complejidad de los factores laborales que determinan el bienestar de los trabajadores, el análisis incluye dimensiones no monetarias de la calidad del empleo, como la calidad del entorno físico y social en el trabajo, las perspectivas de desarrollo profesional y la intensidad del trabajo. En efecto, se observa que las condiciones de trabajo tienden a diferir no solo entre países europeos y entre ocupaciones, sino también en relación con aspectos concretos de la vida laboral. La comparación de promedios por países no resulta muy esclarecedora, porque el bienestar de los trabajadores depende de dimensiones específicas de la calidad del empleo, así como de características sectoriales, ocupacionales y personales. Por lo tanto, se necesita una perspectiva microeconómica detallada por países.
En cuanto al segundo punto, el principal objetivo era examinar cómo afectan a la calidad del empleo (en comparación con los salarios) dos fenómenos mundiales: la intensificación de las cadenas de producción transfronteriza, por un lado, y la rápida evolución de las tecnologías digitales, por otro. Se han estimado varios modelos econométricos que relacionan los salarios y seis índices de calidad del empleo de la EWCS con la intensidad de la participación en las CVM y con las características tecnológicas de las ocupaciones de los trabajadores (junto a varios controles adicionales). De este modo, se han combinado tres importantes perspectivas presentes en la bibliografía: i) la investigación económica y sociológica sobre las condiciones de trabajo y el trabajo decente; ii) los estudios económicos internacionales sobre la fragmentación de la producción; y iii) la bibliografía sobre la repercusión del progreso tecnológico impulsado por soluciones digitales en el mercado de trabajo.
Los resultados indican que, en promedio (es decir, tras controlar las características individuales y de la empresa), la participación en las CVM muestra una correlación negativa con los salarios y (ligeramente) positiva con algunos aspectos no monetarios de la calidad del empleo, tras tener en cuenta la exposición de los puestos de trabajo al software o a los robots. Al examinar la exposición a la IA, el efecto de una participación más intensa en las CVM es negativo para los salarios, pero insignificante para los índices de calidad del empleo. Así pues, se observa que la influencia de las CVM en los salarios y en los distintos tipos de medidas de la calidad del empleo puede variar. Esto exige un análisis de los aspectos no salariales, además de los salarios en sí. Es importante destacar que los factores tecnológicos no alteran la relación básica entre las cadenas mundiales de producción y la calidad del empleo y los salarios de forma económicamente significativa.
Este enfoque resuelve el problema de cómo cuantificar adecuadamente los efectos de la fragmentación de la producción mundial en el nivel de los trabajadores. Los problemas reales de sobrecarga de trabajo, tecnoestrés y entornos sociales o físicos desagradables en el trabajo no pueden corregirse sin identificar sus fuentes. El análisis indica que la información contenida en los cuadros de insumo y producto, una vez cotejada con datos detallados de nivel microeconómico sobre la calidad del empleo, ofrece una visión más completa de cómo afectan las CVM a los trabajadores. Al explorar la heterogeneidad entre países, sectores, ocupaciones y trabajadores, los resultados parecen confirmar de forma convincente la naturaleza multidimensional de las condiciones de trabajo. Son resultados pertinentes para formular respuestas de política adecuadas y coordinadas ante el empeoramiento de las condiciones laborales en un contexto de competencia transfronteriza, por ejemplo a través de las CVM, y ante los retos derivados del rápido progreso digital. Establecer unas condiciones de trabajo justas y de alta calidad constituye un objetivo prioritario, porque los problemas de salud y la pérdida de rendimiento laboral a causa de unas malas condiciones de trabajo exigen una intervención política.
El artículo aporta evidencia empírica sobre el impacto de las nuevas tecnologías, ampliando así el creciente corpus bibliográfico sobre los vínculos entre la tecnología digital y los mercados laborales. Por un lado, una encuesta reciente a trabajadores y empleadores en Europa revela unas expectativas relativamente positivas sobre el impacto de la IA en el mercado laboral y las condiciones de trabajo (Lane, Williams y Broecke 2023). Por otro, y como se confirma en este estudio, la evidencia empírica sobre los efectos de la tecnología digital en los salarios es muy poco concluyente.
Este estudio se basa en datos anteriores a la pandemia. Una importante cuestión que deberá abordarse en futuras investigaciones es cómo han afectado a la calidad del empleo la pandemia de COVID-19 y los cambios que han ocurrido después en el mundo del trabajo. Es probable que el impacto se haya distribuido de forma desigual entre los trabajadores. Durante la pandemia algunas personas, como los trabajadores de la salud, trabajaron en primera línea, mientras que otras tuvieron que cerrar sus negocios, y muchos de quienes trabajaban en casa sufrieron un aumento del estrés y dificultades de conciliación del trabajo con la vida privada. Todos soportaron la incertidumbre del día a día. Estos efectos han repercutido directa e indirectamente en las prácticas y condiciones de trabajo después de la pandemia. Por lo tanto, se necesitan futuras investigaciones que describan el impacto de la pandemia en el bienestar de los trabajadores.
Notes
- Véase https://www.oecd.org/en/topics/global-value-and-supply-chains.html (consultado el 16 de abril de 2025). ⮭
- Véase https://ec.europa.eu/eurostat/web/sdi/database/decent-work-and-economic-growth (consultado el 16 de abril de 2025). ⮭
- Se aplican aquí las definiciones de la OIT y la EWCS. La OIT define el concepto de «puesto de trabajo» como «un conjunto de tareas y funciones desempeñadas por una persona, o que se prevé que una persona desempeñe, ya sea para un empleador o por cuenta propia». Por «ocupación» se entiende un «conjunto de puestos de trabajo cuyas principales tareas y funciones se caracterizan por un alto grado de similitud» (https://isco-ilo.netlify.app/en/isco-08/). La «calidad del empleo», según la EWCS, incluye «las características laborales recopiladas desde una perspectiva objetiva, que pueden observarse y están relacionadas con la satisfacción de las necesidades de las personas a partir de su trabajo. Los indicadores están compuesto[s] por todas las características del trabajo y del empleo que han demostrado tener una relación causal con la salud y el bienestar. Se incluyen las características positivas y negativas de los puestos de trabajo. Estos indicadores reflejan los recursos laborales (aspectos físicos, psicológicos, sociales u organizativos) y las demandas de empleo, o los procesos que influyen en ellos» (https://www.eurofound.europa.eu/es/topics/job-quality). Los términos «condiciones de trabajo» o «condiciones laborales» designan un concepto aún más amplio, relativo a «las condiciones en que se realiza el trabajo [… incluyendo] la dimensión económica del trabajo y los efectos sobre las condiciones de vida» (https://www.eurofound.europa.eu/en/topic/working-conditions) (enlaces consultados el 12 de mayo de 2025). ⮭
- Numerosas investigaciones conexas se ocupan de los efectos de la fragmentación de la producción sobre el empleo y la supresión de puestos de trabajo (Autor et al. 2014; Egger, Kreickemeier y Wrona 2015; Hummels, Munch y Xiang 2018) o la polarización del mercado laboral (Cirillo 2018; Autor y Dorn 2013; Goos, Manning y Salomons 2014). ⮭
- El progreso social puede definirse como «el proceso de mejora de los derechos y prestaciones de los trabajadores en cuanto que agentes sociales, que eleva la calidad del empleo» (Barrientos, Gereffi y Rossi 2011, 353). ⮭
- Véase evidencia empírica en Autor, Levy y Murnane (2003), Autor y Handel (2013), Autor y Dorn (2013), Frey y Osborne (2017) para los Estados Unidos, y Goos, Manning y Salomons (2014) y Marcolin, Miroudot y Squicciarini (2016) para la Unión Europea, entre otros estudios. ⮭
- Alemania, Bélgica, Bulgaria, Chipre, Chequia, Eslovaquia, España, Estonia, Francia, Hungría, Italia, Letonia, Lituania, Luxemburgo, Malta, Noruega, Países Bajos, Polonia, Portugal, Reino Unido, Rumania y Suecia. ⮭
- Véase una descripción detallada en el cuadro SA3 del anexo suplementario en línea. ⮭
- Véase el cuadro SA2 en el anexo suplementario en línea. ⮭
- Véase más información en la sección 2 de Eurofound (2017). ⮭
- El valor del coeficiente de correlación es incluso cercano a cero en el caso de la calidad del tiempo de trabajo o el entorno social (véase el cuadro SA4 en el anexo suplementario en línea). ⮭
- Albanesi et al. (2023) proporcionan estadísticas sobre el contenido tecnológico por países, cotejando los datos sobre empleo con los indicadores tecnológicos de Webb (2020) para 16 países europeos. Los autores documentan un aumento de la proporción de empleo en ocupaciones relacionadas con la IA (2011–2019), en consonancia con la heterogeneidad observada entre países en los patrones de empleo relacionado con la IA. ⮭
- Véase el cuadro SA3 del anexo suplementario en línea. ⮭
- La distinción entre entidades privadas y públicas no se refleja en los efectos fijos sectoriales. Se excluyen del análisis los sectores puramente públicos, como las fuerzas armadas. Otros sectores engloban empresas públicas y privadas: en conjunto, el 58,54 por ciento de las empresas en la SES son privadas y el 41,46 por ciento son públicas. ⮭
- Se utiliza el comando fracreg en Stata. En el caso del probit fraccional no se presenta el pseudo R2, pues su interpretación exige mucha cautela (Long y Freese 2006). ⮭
- Véase el gráfico SA2 en el anexo suplementario en línea. ⮭
- Los resultados completos se recogen en el cuadro SA8 del anexo suplementario en línea. Por lo general, los hombres, los trabajadores jóvenes, los que tienen un menor nivel educativo y menos experiencia y aquellos que trabajan a tiempo parcial perciben salarios más bajos. ⮭
- Convenios que contienen cláusulas generales de apertura (renegociación de disposiciones contractuales en ámbitos inferiores, en condiciones especificadas) = 1; convenios que no contienen cláusulas de apertura = 0. ⮭
- Ámbito predominante en el que suele tener lugar la negociación salarial: 1 = ámbito local o de empresa; 2 = ámbito sectorial; y 3 = ámbito central. ⮭
- No se dispone de información sobre el tamaño de las empresas de Chipre, Luxemburgo y Malta. ⮭
Agradecimientos
Este artículo se basa en el análisis presentado en un documento de trabajo publicado por el ETUI (Nikulin, Parteka y Wolszczak-Derlacz 2022). Joanna Wolszczak-Derlacz agradece el apoyo financiero recibido de la Gdańsk University of Technology para estos estudios en el marco del programa Americium International Career Development «Excellence Initiative – Research University», subvención núm. DEC08/2023/IDUB/II.14/AMERICIUM. Aleksandra Parteka agradece el apoyo financiero recibido del Centro Nacional de Ciencia de Polonia (2020/37/B/HS4/01302). Dagmara Nikulin agradece el apoyo financiero de la Gdańsk University of Technology en el marco del programa Argentum Triggering Research «Excellence Initiative – Research University», subvención núm. DEC-8/1/2023/IDUB/I3b/Ag. Las autoras expresan también su agradecimiento a los afiliados del ETUI por sus comentarios y consejos.
Conflictos de interés
Los autores declaran que no incurren en ningún conflicto de intereses con respecto al presente artículo.
Bibliografía citada
Acemoglu, Daron, y David Autor. 2011. «Skills, Tasks and Technologies: Implications for Employment and Earnings». En Handbook of Labor Economics, vol. 4B, editado por Orley Ashenfelter y David Card, 1043-1171. Amsterdam: Elsevier.
Acemoglu, Daron, David Autor, Jonathon Hazell y Pascual Restrepo. 2022. «Artificial Intelligence and Jobs: Evidence from Online Vacancies». Journal of Labor Economics 40 (S1): S293-S340. http://doi.org/10.1086/718327.
Acemoglu, Daron, y Pascual Restrepo. 2018. «The Race between Man and Machine: Implications of Technology for Growth, Factor Shares, and Employment». American Economic Review 108 (6): 1488-1542. http://doi.org/10.1257/aer.20160696.
Acemoglu, Daron, y Pascual Restrepo. 2020. «Robots and Jobs: Evidence from US Labor Markets». Journal of Political Economy 128 (6): 2188-2244. http://doi.org/10.1086/705716.
Aghion, Philippe, Benjamin F. Jones y Charles I. Jones. 2019. «Artificial Intelligence and Economic Growth». En The Economics of Artificial Intelligence: An Agenda, editado por Ajay Agrawal, Joshua Gans y Avi Goldfarb, 237-290. Chicago: University of Chicago Press.
Agrawal, Ajay, Joshua S. Gans y Avi Goldfarb. 2019. «Artificial Intelligence: The Ambiguous Labor Market Impact of Automating Prediction». Journal of Economic Perspectives 33 (2): 31-50. http://doi.org/10.1257/jep.33.2.31.
Albanesi, Stefania, António Dias da Silva, Juan F. Jimeno, Ana Lamo y Alena Wabitsch. 2023. «New Technologies and Jobs in Europe». NBER Working Paper No. 31357. Cambridge (Estados Unidos): National Bureau of Economic Research.
Aleksynska, Mariya. 2018. «Temporary Employment, Work Quality, and Job Satisfaction». Journal of Comparative Economics 46 (3): 722-735. http://doi.org/10.1016/j.jce.2018.07.004.
Antón, José-Ignacio, Enrique Fernández-Macías y Rudolf Winter-Ebmer. 2020 «Does Robotization Affect Job Quality? Evidence from European Regional Labour Markets». IZA Discussion Paper No. 13975. Bonn: Institute of Labor Economics.
Autor, David H., y David Dorn. 2013. «The Growth of Low-Skill Service Jobs and the Polarization of the US Labor Market». American Economic Review 103 (5): 1553-1597. http://doi.org/10.1257/aer.103.5.1553.
Autor, David H., David Dorn, Gordon H. Hanson y Jae Song. 2014. «Trade Adjustment: Worker-Level Evidence». Quarterly Journal of Economics 129 (4): 1799-1860. http://doi.org/10.1093/qje/qju026.
Autor, David H., Frank Levy y Richard J. Murnane. 2003. «The Skill Content of Recent Technological Change: An Empirical Exploration». Quarterly Journal of Economics 118 (4): 1279-1333. http://doi.org/10.1162/003355303322552801.
Autor, David H., y Michael J. Handel. 2013. «Putting Tasks to the Test: Human Capital, Job Tasks, and Wages». Journal of Labor Economics 31 (S1): S59-S96. http://doi.org/10.1086/669332.
Badri, Adel, Bryan Boudreau-Trudel y Ahmed Saâdeddine Souissi. 2018. «Occupational Health and Safety in the Industry 4.0 Era: A Cause for Major Concern?». Safety Science 109 (noviembre): 403-411. http://doi.org/10.1016/j.ssci.2018.06.012.
Bair, Jennifer, y Gary Gereffi. 2001. «Local Clusters in Global Chains: The Causes and Consequences of Export Dynamism in Torreon’s Blue Jeans Industry». World Development 29 (11): 1885-1903. http://doi.org/10.1016/S0305-750X(01)00075-4.
Baldwin, Richard. 2013. «Global Supply Chains: Why They Emerged, Why They Matter, and Where They Are Going». En Global Value Chains in a Changing World, editado por Deborah K. Elms y Patrick Low, 13-59. Ginebra: Organización Mundial del Comercio.
Barrientos, Stephanie, Gary Gereffi y Arianna Rossi. 2011. «Progreso económico y social en las redes productivas mundiales. Nuevo paradigma». Revista Internacional del Trabajo 130 (3-4): 347-373. http://doi.org/10.1111/j.1564-9148.2011.00120.x.
Barrientos, Stephanie, Peter Knorringa, Barbara Evers, Margareet Visser y Maggie Opondo. 2016. «Shifting Regional Dynamics of Global Value Chains: Implications for Economic and Social Upgrading in African Horticulture». Environment and Planning A 48 (7): 1266-1283. http://doi.org/10.1177/0308518X15614416.
Baumgarten, Daniel, Ingo Geishecker y Holger Görg. 2013. «Offshoring, Tasks, and the Skill–Wage Pattern». European Economic Review 61 (julio): 132-152. http://doi.org/10.1016/j.euroecorev.2013.03.007.
Berg-Beckhoff, Gabriele, Grace Nielsen y Eva Ladekjær Larsen. 2017. «Use of Information Communication Technology and Stress, Burnout, and Mental Health in Older, Middle-Aged, and Younger Workers: Results from a Systematic Review». International Journal of Occupational and Environmental Health 23 (2): 160-171. http://doi.org/10.1080/10773525.2018.1436015.
Berliner, Daniel, Anne Regan Greenleaf, Milli Lake, Margaret Levi y Jennifer Noveck. 2015. «Governing Global Supply Chains: What We Know (and Don’t) about Improving Labor Rights and Working Conditions». Annual Review of Law and Social Science 11 (noviembre): 193-209. http://doi.org/10.1146/annurev-lawsocsci-120814-121322.
Bernhardt, Thomas, y Ruth Pollak. 2016. «Economic and Social Upgrading Dynamics in Global Manufacturing Value Chains: A Comparative Analysis». Environment and Planning A 48 (7): 1220-1243. http://doi.org/10.1177/0308518X15614683.
Bonhomme, Stéphane, y Grégory Jolivet. 2009. «The Pervasive Absence of Compensating Differentials». Journal of Applied Econometrics 24 (5): 763-795. http://doi.org/10.1002/jae.1074.
Briken, Kendra, Shiona Chillas, Martin Krzywdzinski y Abigail Marks. 2017. «Labour Process Theory and the New Digital Workplace». En The New Digital Workplace: How New Technologies Revolutionise Work, editado por Kendra Briken, Shiona Chillas, Martin Krzywdzinski y Abigail Marks, 1-17. Londres: Palgrave Macmillan.
Brynjolfsson, Erik, Danielle Li y Lindsey R. Raymond. 2023. «Generative AI at Work». NBER Working Paper No. 31161. Cambridge (Estados Unidos): National Bureau of Economic Research.
Brynjolfsson, Erik, y Tom Mitchell. 2017. «What Can Machine Learning Do? Workforce Implications». Science 358 (6370): 1530-1534. http://doi.org/10.1126/science.aap8062.
Brynjolfsson, Erik, Tom Mitchell y Daniel Rock. 2018. «What Can Machines Learn, and What Does It Mean for Occupations and the Economy?». AEA Papers and Proceedings 108 (mayo): 43-47. http://doi.org/10.1257/pandp.20181019.
Budría, Santiago, y Juliette Milgram Baleix. 2020. «Offshoring, Job Satisfaction and Job Insecurity». Economics 14 (2020–23): 1-32. http://doi.org/10.5018/economics-ejournal.ja.2020-23.
Calvino, Flavio, y Luca Fontanelli. 2023. «A Portrait of AI Adopters across Countries: Firm Characteristics, Assets’ Complementarities and Productivity». OECD Science, Technology and Industry Working Papers, No. 2023/02. París: OCDE.
Card, David, Alexandre Mas, Enrico Moretti y Emmanuel Saez. 2012. «Inequality at Work: The Effect of Peer Salaries on Job Satisfaction». American Economic Review 102 (6): 2981-3003. http://doi.org/10.1257/aer.102.6.2981.
Cascales Mira, María. 2021. «New Model for Measuring Job Quality: Developing an European Intrinsic Job Quality Index (EIJQI)». Social Indicators Research 155 (2): 625-645. http://doi.org/10.1007/s11205-021-02615-9.
Cazes, Sandrine, Alexander Hijzen y Anne Saint-Martin. 2015. «Measuring and Assessing Job Quality: The OECD Job Quality Framework». OECD Social, Employment and Migration Working Papers, No. 174. París: OCDE.
Cirillo, Valeria. 2018. «La polarización del empleo en Europa desde una perspectiva sectorial». Revista Internacional del Trabajo 137 (1): 41-68. http://doi.org/10.1111/ilrs.12075.
Clark, Andrew E. 2015. «What Makes a Good Job? Job Quality and Job Satisfaction». IZA World of Labor, Artículo núm. 215. http://doi.org/10.15185/izawol.215.
Clark, Andrew E., Conchita D’Ambrosio y Rong Zhu. 2021. «Job Quality and Workplace Gender Diversity in Europe». Journal of Economic Behavior & Organization 183 (marzo): 420-432. http://doi.org/10.1016/j.jebo.2021.01.012.
Clark, Andrew E., Nicolai Kristensen y Niels Westergård-Nielsen. 2009. «Job Satisfaction and Co-Worker Wages: Status or Signal?». Economic Journal 119 (536): 430-447. http://doi.org/10.1111/j.1468-0297.2008.02236.x.
Decancq, Koen, Marc Fleurbaey y Erik Schokkaert. 2015. «Happiness, Equivalent Incomes and Respect for Individual Preferences». Economica 82 (S1): 1082-1106. http://doi.org/10.1111/ecca.12152.
Delautre, Guillaume, Elizabeth Echeverría Manrique y Colin Fenwick (eds.). 2021. Decent Work in a Globalized Economy: Lessons from Public and Private Initiatives. Ginebra: OIT.
Deshpande, Advait, Natalie Picken, Linda Kunertova, Annemari De Silva, Giulia Lanfredi y Joanna Hofman. 2021. Improving Working Conditions Using Artificial Intelligence. Luxemburgo: Departamento Temático de Políticas Económica y Científicas y de Calidad de Vida, Parlamento Europeo.
Ebenstein, Avraham, Ann Harrison, Margaret McMillan y Shannon Phillips. 2014. «Estimating the Impact of Trade and Offshoring on American Workers Using the Current Population Surveys». Review of Economics and Statistics 96 (4): 581-595. http://doi.org/10.1162/REST_a_00400.
Egger, Hartmut, Udo Kreickemeier y Jens Wrona. 2015. «Offshoring Domestic Jobs». Journal of International Economics 97 (1): 112-125. http://doi.org/10.1016/j.jinteco.2015.03.010.
Eurofound (Fundación Europea para la Mejora de las Condiciones de Vida y de Trabajo). 2017. Sixth European Working Conditions Survey – Overview Report (2017 Update). Luxemburgo: Oficina de Publicaciones de la Unión Europea.
Eurofound (Fundación Europea para la Mejora de las Condiciones de Vida y de Trabajo). 2020. Working Conditions in Sectors. Luxemburgo: Oficina de Publicaciones de la Unión Europea.
Eurofound (Fundación Europea para la Mejora de las Condiciones de Vida y de Trabajo). 2021. Working Conditions and Sustainable Work: An Analysis Using the Job Quality Framework. Luxemburgo: Oficina de Publicaciones de la Unión Europea.
Eurofound (Fundación Europea para la Mejora de las Condiciones de Vida y de Trabajo). 2022. Working Conditions in the Time of COVID-19: Implications for the Future. Luxemburgo: Oficina de Publicaciones de la Unión Europea.
Feenstra, Robert C., y Akira Sasahara. 2018. «The “China Shock”, Exports and US Employment: A Global Input–Output Analysis». Review of International Economics 26 (5): 1053-1083. http://doi.org/10.1111/roie.12370.
Felten, Edward W., Manav Raj y Robert Seamans. 2018. «A Method to Link Advances in Artificial Intelligence to Occupational Abilities». AEA Papers and Proceedings 108 (mayo): 54-57. http://doi.org/10.1257/pandp.20181021.
Felten, Edward W., Manav Raj y Robert Seamans. 2019. «The Occupational Impact of Artificial Intelligence: Labor, Skills, and Polarization». Documento de trabajo disponible en SSRN. http://dx.doi.org/10.2139/ssrn.3368605.
Fernández, Rosa M., y Christophe J. Nordman. 2009. «Are There Pecuniary Compensations for Working Conditions?». Labour Economics 16 (2): 194-207. http://doi.org/10.1016/j.labeco.2008.08.001.
Fleurbaey, Marc. 2015. «Beyond Income and Wealth». Review of Income and Wealth 61 (2): 199-219. http://doi.org/10.1111/roiw.12187.
Frey, Carl Benedikt, y Michael A. Osborne. 2017. «The Future of Employment: How Susceptible Are Jobs to Computerisation?». Technological Forecasting and Social Change 114 (enero): 254-280. http://doi.org/10.1016/j.techfore.2016.08.019.
Gallie, Duncan, Alan Felstead y Francis Green. 2012. «Job Preferences and the Intrinsic Quality of Work: The Changing Attitudes of British Employees 1992–2006». Work, Employment and Society 26 (5): 806-821. http://doi.org/10.1177/0950017012451633.
Gandini, Alessandro. 2019. «Labour Process Theory and the Gig Economy». Human Relations 72 (6): 1039-1056. http://doi.org/10.1177/0018726718790002.
Geishecker, Ingo. 2012. «Simultaneity Bias in the Analysis of Perceived Job Insecurity and Subjective Well-Being». Economics Letters 116 (3): 319-321. http://doi.org/10.1016/j.econlet.2012.03.018.
Geishecker, Ingo, Holger Görg y Jacob Roland Munch. 2010. «Do Labour Market Institutions Matter? Micro-Level Wage Effects of International Outsourcing in Three European Countries». Review of World Economics 146 (1): 179-198. http://doi.org/10.1007/s10290-009-0039-9.
Georgieff, Alexandre. 2024. «Artificial Intelligence and Wage Inequality». OECD Artificial Intelligence Papers, No. 13. París: OCDE.
Gimet, Céline, Bernard Guilhon y Nathalie Roux. 2015. «Progreso social y producción mundializada. El caso del sector de los textiles y el vestido». Revista Internacional del Trabajo 134 (3): 331-356. http://doi.org/10.1111/j.1564-9148.2015.00255.x.
Gmyrek, Paweł, Janine Berg y David Bescond. 2023. «Generative AI and Jobs: A Global Analysis of Potential Effects on Job Quantity and Quality». ILO Working Paper No. 96. Ginebra: OIT.
Goos, Maarten. 2018. «The Impact of Technological Progress on Labour Markets: Policy Challenges». Oxford Review of Economic Policy 34 (3): 362-375. http://doi.org/10.1093/oxrep/gry002.
Goos, Maarten, Alan Manning y Anna Salomons. 2014. «Explaining Job Polarization: Routine-Biased Technological Change and Offshoring». American Economic Review 104 (8): 2509-2526. http://doi.org/10.1257/aer.104.8.2509.
Grimm, Felix, y Christina Gathmann. 2022. «The Diffusion of Digital Technologies and Its Consequences in the Labor Market». Ponencia presentada en la Verein für Socialpolitik Annual Conference 2022: Big Data in Economics, Basilea, septiembre de 2022.
Harley, Bill. 2018. «Sociology, the Labour Process and Employment Relations». En The Routledge Companion to Employment Relations, editado por Adrian Wilkinson, Tony Dundon, Jimmy Donaghey y Alexander J.S. Colvin, 81-92. Abingdon: Routledge.
Hernandez, Danny, y Tom B. Brown. 2020. «Measuring the Algorithmic Efficiency of Neural Networks», arXiv:2005.04305. http://doi.org/10.48550/arXiv.2005.04305.
Hummels, David, Jacob R. Munch y Chong Xiang. 2018. «Offshoring and Labor Markets». Journal of Economic Literature 56 (3): 981-1028. http://doi.org/10.1257/jel.20161150.
Javdani, Mohsen, y Brian Krauth. 2020. «Job Satisfaction and Co-Worker Pay in Canadian Firms». Canadian Journal of Economics/Revue canadienne d’économique 53 (1): 212-248. http://doi.org/10.1111/caje.12422.
Kabeer, Naila, y Simeen Mahmud. 2004. «Globalization, Gender and Poverty: Bangladeshi Women Workers in Export and Local Markets». Journal of International Development 16 (1): 93-109. http://doi.org/10.1002/jid.1065.
Karasek, Robert, y Töres Theorell. 1990. Healthy Work: Stress, Productivity, and the Reconstruction of Working Life. Nueva York: Basic Books.
Kaufman, Gayle, y Damian White. 2015. «What Makes a “Good Job”? Gender Role Attitudes and Job Preferences in Sweden». Gender Issues 32 (4): 279-294. http://doi.org/10.1007/s12147-015-9145-2.
Lane, Marguerita, y Anne Saint-Martin. 2021. «The Impact of Artificial Intelligence on the Labour Market: What Do We Know So Far?». OECD Social, Employment and Migration Working Papers, No. 256. París: OCDE.
Lane, Marguerita, Morgan Williams y Stijn Broecke. 2023. «The Impact of AI on the Workplace: Main Findings from the OECD AI Surveys of Employers and Workers». OECD Social, Employment and Migration Working Papers, No. 288. París: OCDE.
Lee, Joonkoo, y Gary Gereffi. 2013. «The Co-Evolution of Concentration in Mobile Phone Global Value Chains and Its Impact on Social Upgrading in Developing Countries». Capturing the Gains Working Paper No. 25. Manchester: Universidad de Manchester.
Lee, Joonkoo, Gary Gereffi y Sang-Hoon Lee. 2016. «Social Upgrading in Mobile Phone GVCs: Firm-Level Comparisons of Working Conditions and Labour Rights». En Labour in Global Value Chains in Asia, editado por Dev Nathan, Meenu Tewari y Sandip Sarkar, 315-352. Cambridge: Cambridge University Press.
Leschke, Janine, Andrew Watt y Mairéad Finn. 2008. «Putting a Number on Job Quality? Constructing a European Job Quality Index». ETUI-REHS Working Paper No. 2008-03. Bruselas: Instituto Sindical Europeo de Investigación, Educación, Salud y Seguridad.
Lloyd, Caroline, y Susan James. 2008. «Too Much Pressure? Retailer Power and Occupational Health and Safety in the Food Processing Industry». Work, Employment and Society 22 (4): 713-730. http://doi.org/10.1177/0950017008098366.
Long, J. Scott, y Jeremy Freese. 2006 Regression Models for Categorical Dependent Variables Using Stata. Segunda edición. College Station: Stata Press.
Lu, Yingying, y Yixiao Zhou. 2021. «A Review on the Economics of Artificial Intelligence». Journal of Economic Surveys 35 (4): 1045-1072. http://doi.org/10.1111/joes.12422.
Marcolin, Luca, Sébastien Miroudot y Mariagrazia Squicciarini. 2016. «The Routine Content of Occupations: New Cross-Country Measures Based on PIAAC». OECD Trade Policy Papers, No. 188. París: OCDE.
Milanez, Anna. 2023. «The Impact of AI on the Workplace: Evidence from OECD Case Studies of AI Implementation». OECD Social, Employment and Migration Working Papers, No. 289. París: OCDE.
Milberg, William, y Deborah Winkler. 2011. «Progreso económico y social en las redes productivas mundiales. Problemas teóricos y de medición». Revista Internacional del Trabajo 130 (3-4): 375-401. http://doi.org/10.1111/j.1564-9148.2011.00121.x.
Nadvi, Khalid, John T. Thoburn, Bui Tat Thang, Nguyen Thi Thanh Ha, Nguyen Thi Hoa, Dao Hong Le y Enrique Blanco De Armas. 2004. «Vietnam in the Global Garment and Textile Value Chain: Impacts on Firms and Workers». Journal of International Development 16 (1): 111-123. http://doi.org/10.1002/jid.1066.
Nazareno, Luísa, y Daniel S. Schiff. 2021. «The Impact of Automation and Artificial Intelligence on Worker Well-Being». Technology in Society 67 (noviembre): 101679. http://doi.org/10.1016/j.techsoc.2021.101679.
Nikulin, Dagmara, Aleksandra Parteka y Joanna Wolszczak-Derlacz. 2022. «Working Conditions in Europe: The Role of Global Value Chains and Advanced Digital Production-Driven Technological Specialisation». ETUI Working Paper No. 2022.12. Bruselas: Instituto Sindical Europeo.
Nikulin, Dagmara, Joanna Wolszczak-Derlacz y Aleksandra Parteka. 2022. «Working Conditions in Global Value Chains: Evidence for European Employees». Work, Employment and Society, 36 (4): 701-721. http://doi.org/10.1177/0950017020986107.
OCDE (Organización para la Cooperación y el Desarrollo Económicos). 2023. OECD Employment Outlook 2023: Artificial Intelligence and the Labour Market. París.
ONUDI (Organización de las Naciones Unidas para el Desarrollo Industrial). 2019. Industrial Development Report 2020: Industrializing in the Digital Age. Viena (resumen en español en https://www.unido.org/sites/default/files/files/2019-11/UNIDO_IDR2020-Spanish_overview_0.pdf).
Papke, Leslie E., y Jeffrey M. Wooldridge. 1996. «Econometric Methods for Fractional Response Variables with an Application to 401(k) Plan Participation Rates». Journal of Applied Econometrics 11 (6): 619-632. http://doi.org/10.1002/(SICI)1099-1255(199611)11:6<619::AID-JAE418>3.0.CO;2-1.
Parteka, Aleksandra, y Joanna Wolszczak-Derlacz. 2019. «Global Value Chains and Wages: Multi-Country Evidence from Linked Worker–Industry Data». Open Economies Review 30 (3): 505-539. http://doi.org/10.1007/s11079-018-9518-8.
Parteka, Aleksandra, y Joanna Wolszczak-Derlacz. 2020. «Wage Response to Global Production Links: Evidence for Workers from 28 European Countries (2005–2014)». Review of World Economics 156 (4): 769-801. http://doi.org/10.1007/s10290-020-00380-4.
Parteka, Aleksandra, Joanna Wolszczak-Derlacz y Dagmara Nikulin. 2024. «How Digital Technology Affects Working Conditions in Globally Fragmented Production Chains: Evidence from Europe». Technological Forecasting and Social Change 198 (enero): Artículo núm. 122998. http://doi.org/10.1016/j.techfore.2023.122998.
Piasna, Agnieszka. 2018. «Scheduled to Work Hard: The Relationship between Non-standard Working Hours and Work Intensity among European Workers (2005–2015)». Human Resource Management Journal 28 (1): 167-181. http://doi.org/10.1111/1748-8583.12171.
Reinecke, Juliane, Jimmy Donaghey, Adrian Wilkinson y Geoffrey Wood. 2018. «Global Supply Chains and Social Relations at Work: Brokering across Boundaries». Human Relations 71 (4): 459-480. http://doi.org/10.1177/0018726718756497.
Rossi, Arianna. 2013. «Does Economic Upgrading Lead to Social Upgrading in Global Production Networks? Evidence from Morocco». World Development 46 (junio): 223-233. http://doi.org/10.1016/j.worlddev.2013.02.002.
Salanova, Marisa, Susana Llorens y Mercedes Ventura. 2014. «Technostress: The Dark Side of Technologies». En The Impact of ICT on Quality of Working Life, editado por Christian Korunka y Peter Hoonakker, 87-103. Dordrecht: Springer.
Shen, Leilei, y Peri Silva. 2018. «Value-Added Exports and US Local Labor Markets: Does China Really Matter?». European Economic Review 101 (enero): 479-504. http://doi.org/10.1016/j.euroecorev.2017.10.009.
Smith, Adrian, y John Pickles. 2015. «Global Value Chains and Business Models in the Central and Eastern European Clothing Industry». En Foreign Investment in Eastern and Southern Europe after 2008: Still a Lever of Growth?, editado por Béla Galgóczi, Jan Drahokoupil y Magdalena Bernaciak, 319-353. Bruselas: ETUI.
Spitz-Oener, Alexandra. 2006. «Technical Change, Job Tasks, and Rising Educational Demands: Looking Outside the Wage Structure». Journal of Labor Economics 24 (2): 235-270. http://doi.org/10.1086/499972.
Steffgen, Georges, Philipp E. Sischka y Martha Fernandez de Henestrosa. 2020. «The Quality of Work Index and the Quality of Employment Index: A Multidimensional Approach of Job Quality and Its Links to Well-Being at Work». International Journal of Environmental Research and Public Health 17 (21): 7771. http://doi.org/10.3390/ijerph17217771.
Sutherland, John. 2012. «Job Attribute Preferences: Who Prefers What?». Employee Relations 34 (2): 193-221. http://doi.org/10.1108/01425451211191896.
Tarafdar, Monideepa, Cary L. Cooper y Jean-François Stich. 2019. «The Technostress Trifecta: Techno Eustress, Techno Distress and Design – Theoretical Directions and an Agenda for Research». Information Systems Journal 29 (1): 6-42. http://doi.org/10.1111/isj.12169.
Timmer, Marcel P., Bart Los, Robert Stehrer y Gaaitzen J. de Vries. 2016. «An Anatomy of the Global Trade Slowdown Based on the WIOD 2016 Release», GGDC Research Memoranda, No. 162. Groningen: Universidad de Groningen.
Timmer, Marcel P., Erik Dietzenbacher, Bart Los, Robert Stehrer y Gaaitzen J. de Vries. 2015. «An Illustrated User Guide to the World Input–Output Database: The Case of Global Automotive Production». Review of International Economics 23 (3): 575-605. http://doi.org/10.1111/roie.12178.
Turja, Tuuli, Tuomo Särkikoski, Pertti Koistinen, Oxana Krutova y Harri Melin. 2024. «Job Well Robotized! – Maintaining Task Diversity and Well-Being in Managing Technological Changes». European Management Journal 42 (1): 67-75. http://doi.org/10.1016/j.emj.2022.08.002.
Van der Velde, Lucas. 2020. «Within Occupation Wage Dispersion and the Task Content of Jobs». Oxford Bulletin of Economics and Statistics 82 (5): 1161-1197. http://doi.org/10.1111/obes.12368.
Visser, Jelle. 2019. ICTWSS Database: Version 6.0. Amsterdam: Amsterdam Institute for Advanced Labour Studies.
Wang, Zhi, Shang-Jin Wei y Kunfu Zhu. 2013. “Quantifying International Production Sharing at the Bilateral and Sector Levels”. NBER Working Paper No. 19677. Cambridge (Estados Unidos): National Bureau of Economic Research.
Webb, Michael. 2020. «The Impact of Artificial Intelligence on the Labor Market», documento de trabajo disponible en SSRN. http://dx.doi.org/10.2139/ssrn.3482150.
Wooldridge, Jeffrey M. 2010. Econometric Analysis of Cross Section and Panel Data. Segunda edición. Cambridge (Estados Unidos): MIT Press.
Anexo
Estadísticos resumidos de las variables utilizadas en las estimaciones
| Variables | N | Promedio | Desviación típica | Mín. | Máx. |
| Salario por hora en dólares EE. UU. (SES) | 9 526 268 | 16,75 | 14,40 | 1,25 | 111,34 |
| Índices de calidad del empleo (EWCS) | |||||
| Entorno social | 25 681 | 77,49 | 23,62 | 0,00 | 100,00 |
| Competencias y discrecionalidad | 27 694 | 55,51 | 21,36 | 1,98 | 98,37 |
| Entorno físico | 27 679 | 83,73 | 14,54 | 0,00 | 100,00 |
| Intensidad del trabajo | 27 612 | 32,92 | 18,72 | 0,00 | 100,00 |
| Perspectivas de futuro | 27 598 | 63,02 | 19,74 | 0,00 | 100,00 |
| Tiempo de trabajo | 27 694 | 70,92 | 13,95 | 7,97 | 100,00 |
| Exposición tecnológica (tecn) | |||||
| Exposición al software | 27 585 | 43,28 | 19,62 | 6,00 | 87,00 |
| Exposición a robots | 27 585 | 46,71 | 23,33 | 10,00 | 86,00 |
| Exposición a la IA | 27 585 | 44,01 | 20,11 | 11,00 | 90,00 |
| AIOI | 27 585 | –0,02 | 0,87 | –1,53 | 1,28 |
| Características individuales, del puesto de trabajo y de la empresa (EWCS) | |||||
| sexo [sex] (0 = mujer, 1 = hombre) | 27 689 | 0,48 | 0,50 | 0,00 | 1,00 |
| edad joven [ageyoung] (variable binaria para personas menores de 30 años) | 27 694 | 0,16 | 0,37 | 0,00 | 1,00 |
| mediana edad [ageaverage] (variable binaria para personas de 30-49 años) | 27 694 | 0,47 | 0,50 | 0,00 | 1,00 |
| edad avanzada [ageold] (variable binaria para personas de 50 años o más) | 27 694 | 0,34 | 0,47 | 0,00 | 1,00 |
| educ. baja [loweduc] (nivel educativo bajo, CINE de 2011, niveles 1-2) | 27 576 | 0,18 | 0,38 | 0,00 | 1,00 |
| educ. media [mededuc] (nivel educativo medio, CINE de 2011, niveles 3-4) | 27 576 | 0,49 | 0,50 | 0,00 | 1,00 |
| educ. alta [higheduc] (nivel educativo alto, CINE de 2011, nivel 5 o superior) | 27 576 | 0,33 | 0,47 | 0,00 | 1,00 |
| calif1 [skill1] (nivel de calificación según la CIUO) | 27 585 | 0,11 | 0,31 | 0,00 | 1,00 |
| calif2 [skill2] (nivel de calificación según la CIUO) | 27 585 | 0,52 | 0,50 | 0,00 | 1,00 |
| calif3 [skill3] (nivel de calificación según la CIUO) | 27 585 | 0,12 | 0,32 | 0,00 | 1,00 |
| calif4 [skill4] (nivel de calificación según la CIUO) | 27 585 | 0,26 | 0,44 | 0,00 | 1,00 |
| indefinido [unlimited] (1 = contrato de duración indefinida, 0 = cualquier otro caso) | 23 979 | 0,78 | 0,41 | 0,00 | 1,00 |
| tiempo parcial [part-time] (1 = empleo a tiempo parcial, 0 = cualquier otro caso) | 26 201 | 0,21 | 0,40 | 0,00 | 1,00 |
| Características individuales, del puesto de trabajo y de la empresa (SES) | |||||
| sexo [sex] (0 = mujer, 1 = hombre) | 9 526 356 | 0,50 | 0,50 | 0,00 | 1,00 |
| edad joven [ageyoung] (variable binaria para personas menores de 30 años) | 9 526 356 | 0,17 | 0,38 | 0,00 | 1,00 |
| mediana edad [ageaverage] (variable binaria para personas de 30-49 años) | 9 526 356 | 0,52 | 0,50 | 0,00 | 1,00 |
| edad avanzada [ageold] (variable binaria para personas de 50 años o más) | 9 526 356 | 0,31 | 0,46 | 0,00 | 1,00 |
| educ. baja [loweduc] (nivel educativo bajo, CINE de 2011, niveles 1-2) | 9 526 356 | 0,16 | 0,37 | 0,00 | 1,00 |
| educ. media [mededuc] (nivel educativo medio, CINE de 2011, niveles 3-4) | 9 526 356 | 0,45 | 0,50 | 0,00 | 1,00 |
| educ. alta [higheduc] (nivel educativo alto, CINE de 2011, nivel 5 o superior) | 9 526 356 | 0,39 | 0,49 | 0,00 | 1,00 |
| tiempo completo [full-time] (1 = a tiempo completo, 0 = a tiempo parcial) | 9 526 356 | 0,82 | 0,39 | 0,00 | 1,00 |
| antig. corta [shortdur] (antigüedad en la empresa: menos de un año) | 9 526 356 | 0,13 | 0,34 | 0,00 | 1,00 |
| antig. media [meddur] (antigüedad en la empresa: de 1 a 4 años) | 9 526 356 | 0,30 | 0,46 | 0,00 | 1,00 |
| antig. larga [longdur] (antigüedad en la empresa: de 5 a 14 años) | 9 526 356 | 0,37 | 0,48 | 0,00 | 1,00 |
| antig. muy larga [vlongdur] (antigüedad en la empresa: 15 años o más) | 9 526 356 | 0,20 | 0,40 | 0,00 | 1,00 |
| public (1 = empresas públicas, 0 = empresas privadas) | 9 242 482 | 0,37 | 0,48 | 0,00 | 1,00 |
| Medidas de las CVM | |||||
| FVA/export (proporción de valor añadido extranjero en las exportaciones) | 27 653 | 0,14 | 0,10 | 0,01 | 0,70 |
| GII (intensidad mundial de importaciones) | 27 694 | 0,25 | 0,18 | 0,00 | 0,99 |
-
Notas: Con los datos de la SES se utilizan estadísticas ponderadas según el factor de conversión a cifras brutas reescalado para los empleados (tomado de la SES), normalizado en función del número de observaciones por país. Los índices de calidad del empleo toman un valor de 0 a 100 y abarcan las dimensiones de entorno social, competencias y discrecionalidad, entorno físico, intensidad del trabajo, perspectivas de futuro y calidad del tiempo de trabajo (véase el cuadro SA3 del anexo suplementario en línea).
Fuente: Elaboración de las autoras con los índices de calidad del empleo de la EWCS de 2015, los salarios de la SES de 2014, los indicadores de exposición tecnológica de Webb (2020), AIOI (impacto ocupacional de la IA) de Felten, Raj y Seamans (2019) y datos sectoriales de la WIOD de 2016.

